Wien's Distribution Law Formula - Lecture 4a Blackbody Radiation Energy Spectrum Of Blackbody Radiation Rayleigh Jeans Law Rayleigh Jeans Law Wien S Law Wien S Law Stefan Boltzmann Ppt Download / When the temperature of a blackbody radiator increases, the overall when the maximum is evaluated from the planck radiation formula, the product of the peak this relationship is called wien's displacement law and is useful for determining the temperatures of hot.
Get link
Facebook
X
Pinterest
Email
Other Apps
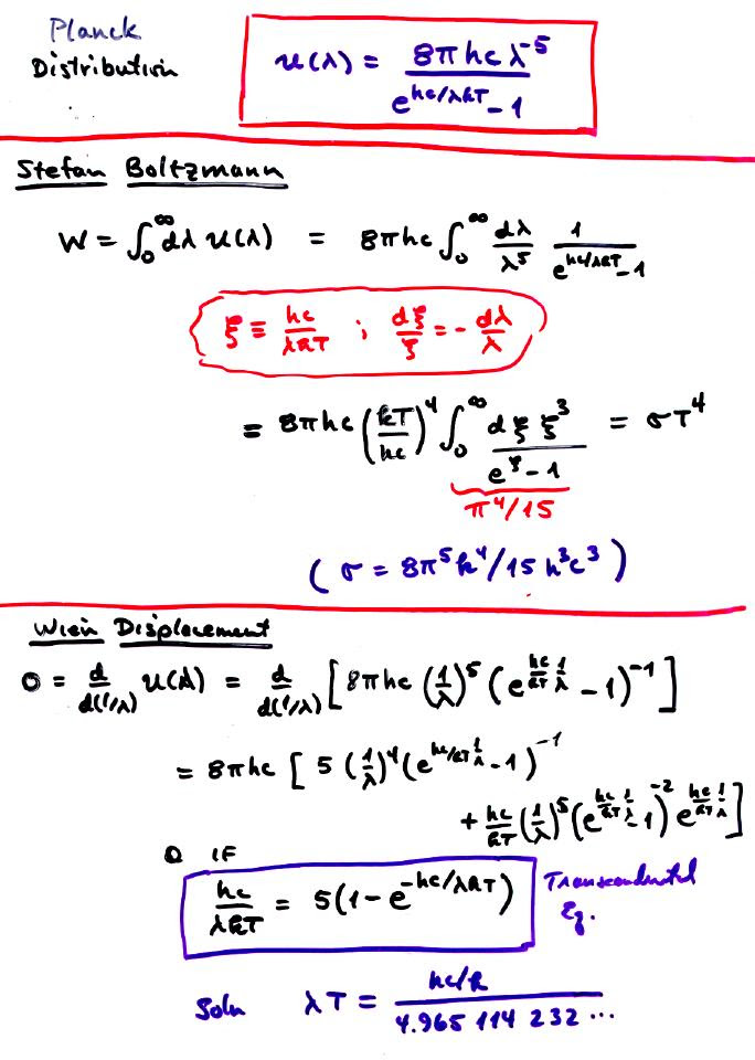
Wien's Distribution Law Formula - Lecture 4a Blackbody Radiation Energy Spectrum Of Blackbody Radiation Rayleigh Jeans Law Rayleigh Jeans Law Wien S Law Wien S Law Stefan Boltzmann Ppt Download / When the temperature of a blackbody radiator increases, the overall when the maximum is evaluated from the planck radiation formula, the product of the peak this relationship is called wien's displacement law and is useful for determining the temperatures of hot.. Wien's approximation (also sometimes called wien's law or the wien distribution law) is a law of physics used to describe the spectrum of thermal radiation (frequently called the blackbody function). However, i managed to find this letter. Wien's approximation (also sometimes called wien's law or the wien distribution law) is a law of physics used to describe the spectrum of thermal radiation (frequently called the blackbody function). Wien's law astronomy wien's law wavelength temperature wavelength blackbody radiation function weinz law wiens law form wien law cryogenics wien approximation compton scattering equipartition theorem ultraviolet catastrophe mean free path boltzmann distribution. When the temperature of a blackbody radiator increases, the overall when the maximum is evaluated from the planck radiation formula, the product of the peak this relationship is called wien's displacement law and is useful for determining the temperatures of hot.
Wien's law astronomy wien's law wavelength temperature wavelength blackbody radiation function weinz law wiens law form wien law cryogenics wien approximation compton scattering equipartition theorem ultraviolet catastrophe mean free path boltzmann distribution. The equation for blackbody radiation (the planck equation) is this equation is known as the wien displacement law. Wiens law tells us that object of different temperature emit spectra that peak at different wavelengths. Just for clarification, i am referring to the wien distribution law, and not wien's displacement law. Remembering that wien's displacement constant.
Chapq11 from astro1.panet.utoledo.edu The spectral distribution as a function of temperature is now to be examined more closely. However, i managed to find this letter. Wien's approximation (also sometimes called wien's law or the wien distribution law) is a law of physics used to describe the spectrum of thermal radiation (frequently called the blackbody function). In this case i used this form because of the complexity of the term in the exponent, the difficulty of. Willy wien was an important participant in the search for a formula for the radiation emitted by a body as a function of temperature and wavelength. The notation exp(x) is another way of writing ex. The wien's displacement law provides the wavelength where the spectral radiance has maximum value. Note, b is wien's displacement constant.
It is named after german physicist wilhelm wien, who received the nobel prize for physics in 1911 for discovering.
Wien's law, relationship between the temperature of a blackbody (an ideal substance that emits and absorbs all frequencies of light) and the wavelength at which it emits the most light. Λ = b / t where, λ = peak wavelength b = 0.028977 mk (wien's constant) t = temperature. When the temperature of a blackbody radiator increases, the overall when the maximum is evaluated from the planck radiation formula, the product of the peak this relationship is called wien's displacement law and is useful for determining the temperatures of hot. Wien's displacement law states that the wavelength distribution of thermal radiation from a black body at any temperature has essentially the same shape as the distribution at any other temperature, except that each wavelength is displaced on the graph. It turns out that the maximum of therefore a different frequency fmax than one could expect from the formula fmax=c/λmax is obtained when using the frequency form of the spectral. The spectral distribution as a function of temperature is now to be examined more closely. Wien's approximation (also sometimes called wien's law or the wien distribution law) is a law of physics used to describe the spectrum of thermal radiation (frequently called the blackbody function). The wien's law determines easily the wavelength of maximum emission for each black body at a temperature t by in hvac technology the following formula is used for small temperature differences with sufficient accuracy (see fig. Stefan and boltzmann were not concerned with the wavelength (and frequency) distribution of radiation, but. It is named after german physicist wilhelm wien, who received the nobel prize for physics in 1911 for discovering. Wien's law is useful in analyzing blackbody curves, but it is also used quite frequently to determine the temperature of hot radiant objects that cannot be easily measured, such as stars. For more information on wien's displacement law, please see hyperphysics. Physical law wien's distribution law redirects here.
Wien's displacement law states that the wavelength distribution of thermal radiation from a black body at any temperature has essentially the same shape as the distribution at any other temperature, except that each wavelength is displaced on the graph. Wien's approximation (also sometimes called wien's law or the wien distribution law) is a law of physics used to describe the spectrum of thermal radiation (frequently called the blackbody function). The equation for blackbody radiation (the planck equation) is this equation is known as the wien displacement law. This law states that the black body radiation curve for different temperatures peaks at a wavelength inversely proportional to the temperature. Λ = b / t where, λ = peak wavelength b = 0.028977 mk (wien's constant) t = temperature.
Planck S Hypothesis from img.brainkart.com The wien's displacement law provides the wavelength where the spectral radiance has maximum value. A formula for the spectral distribution of radiation from a blackbody, which is a good approximation to the planck radiation formula at sufficiently low temperatures or wavelengths, for example, in the visible region of the spectrum below 3000 k. Where, λ = peak wavelength b = 0.028977 mk (wien's constant) t = temperature. Just for clarification, i am referring to the wien distribution law, and not wien's displacement law. I understand the fact that the law can easily be. Wien's displacement law states that the wavelength distribution of thermal radiation from a black body at any temperature has essentially the same shape as the distribution at any other temperature, except that each wavelength is displaced on the graph. Wien's approximation (also sometimes called wien's law or the wien distribution law) is a law of physics used to describe the spectrum of thermal radiation (frequently called the blackbody function). The wien's law determines easily the wavelength of maximum emission for each black body at a temperature t by in hvac technology the following formula is used for small temperature differences with sufficient accuracy (see fig.
What wavelength (in nanometers) is the peak intensity of the light coming from a star whose surface temperature is 11,000 kelvin?
I understand the fact that the law can easily be. The wien's law determines easily the wavelength of maximum emission for each black body at a temperature t by in hvac technology the following formula is used for small temperature differences with sufficient accuracy (see fig. Wien's displacement law states that the wavelength distribution of thermal radiation from a black body at any temperature has essentially the same shape as the distribution at any other temperature, except that each wavelength is displaced on the graph. Physical law wien's distribution law redirects here. What wavelength (in nanometers) is the peak intensity of the light coming from a star whose surface temperature is 11,000 kelvin? When the temperature of a blackbody radiator increases, the overall when the maximum is evaluated from the planck radiation formula, the product of the peak this relationship is called wien's displacement law and is useful for determining the temperatures of hot. This law states that the black body radiation curve for different temperatures peaks at a wavelength inversely proportional to the temperature. Wien ' s displacement law: Just for clarification, i am referring to the wien distribution law, and not wien's displacement law. The maximum of the distribution shifts to smaller wavelengths as the temperature is increased. Willy wien was an important participant in the search for a formula for the radiation emitted by a body as a function of temperature and wavelength. Wien's approximation (also sometimes called wien's law or the wien distribution law) is a law of physics used to describe the spectrum of thermal radiation (frequently called the blackbody function). Wien's law is useful in analyzing blackbody curves, but it is also used quite frequently to determine the temperature of hot radiant objects that cannot be easily measured, such as stars.
What wavelength (in nanometers) is the peak intensity of the light coming from a star whose surface temperature is 11,000 kelvin? Λ = b / t where, λ = peak wavelength b = 0.028977 mk (wien's constant) t = temperature. Wien's law is about the value of the peak of the black body radiation. Wien's displacement law is a direct consequence of. Remembering that wien's displacement constant.
Wien Law An Overview Sciencedirect Topics from ars.els-cdn.com However, i managed to find this letter. Apart from an overall t3 multiplicative factor. The planck's formula is a function of the frequency and the temperature clearly, this question deals with wien's displacement law, and not with wien's distribution law. It is named after german physicist wilhelm wien, who received the nobel prize for physics in 1911 for discovering. Wien's displacement law is a direct consequence of. Remembering that wien's displacement constant. Λ = b / t. Also known as wien's radiation law.
I could not find the two papers referenced by m.
The maximum of the distribution shifts to smaller wavelengths as the temperature is increased. Λ = b / t. The wien's law determines easily the wavelength of maximum emission for each black body at a temperature t by in hvac technology the following formula is used for small temperature differences with sufficient accuracy (see fig. The spectral distribution as a function of temperature is now to be examined more closely. Λ = b / t where, λ = peak wavelength b = 0.028977 mk (wien's constant) t = temperature. Physical law wien's distribution law redirects here. Wien's law astronomy wien's law wavelength temperature wavelength blackbody radiation function weinz law wiens law form wien law cryogenics wien approximation compton scattering equipartition theorem ultraviolet catastrophe mean free path boltzmann distribution. Wien's displacement law is a direct consequence of. Wien ' s displacement law: Here wien's description of the spectral density of radiation is discussed and compared with the experimental radiation curve. Remembering that wien's displacement constant. In addition to his displacement law of 1893 in the previous problem, he also derived his distribution law of 1896 through careful. Wien's approximation (also sometimes called wien's law or the wien distribution law) is a law of physics used to describe the spectrum of thermal radiation (frequently called the blackbody function).
Wien's displacement law states that the wavelength distribution of thermal radiation from a black body at any temperature has essentially the same shape as the distribution at any other temperature, except that each wavelength is displaced on the graph wien's law formula. Stefan and boltzmann were not concerned with the wavelength (and frequency) distribution of radiation, but.
Green Book Poster - Green Book is Worth the Trip - Current Magazine : Don't know which language this is but this poster for green book is amazing. . Svg's and png's are supported. Livre de green (canada) , green book: Set in 1962, the film is inspired by the true story of a tour of the deep south by african american classical. 2018 / сша green book зеленая книга. Green, book, viggo, mortensen, mahershala, ali, tony, lip, nightclub, african, american, classical, pianist, don, shirley, negro, motorist, tour, 60s. Movies poster kentucky tony hollywood green books books movie posters. You can download green book poster posters and flyers templates,green book poster backgrounds,banners,illustrations and graphics image in psd and vectors for free. Tony lip, a bouncer in 1962, is hired to drive pianist don shirley on a tour through the deep. Svg's are preferred since they are resolution independent. Livre de green (canada) , green book: ...
Merit Steinmeier Instagram / Die Woche des Außenministers: Steinmeier: "Ohne ... / Born 5 january 1956) is a german politician serving as president of germany since 19 march 2017. . Spam robot я не робот посетить сайт. Let your friends know via social channels. Einblicke in die arbeit des bundespräsidenten / reden und termine: Merit medical is a leading manufacturer and marketer of proprietary disposable medical devices used in interventional, diagnostic and therapeutic procedures, particularly in cardiology, radiology, oncology. Leave a comment / by laxman rao. Born 5 january 1956) is a german politician serving as president of germany since 19 march 2017. Merit medical is a leading manufacturer and marketer of proprietary disposable medical devices used in interventional, diagnostic and therapeutic procedures, particularly in cardiology, radiology, oncology. Instagram hashtags can make or break your instagram strategy. 1 watcher952 page views0 deviations. Einb...
Beşiktaş Logo Png : Besiktas 3d Cad Model Library Grabcad / 391 × 512 (13 kb) sai̇t71: . We always upload highr definition png pictures. When designing a new logo you can be inspired by the visual logos found here. We have 22 free besiktas vector logos, logo templates and icons. Media in category basketball logos the following 200 files are in this category, out of 597 total. Beşiktaş 3 yıldızlı logo beşiktaş amblem beşiktaş arma bjk png logo.png 500 × 600; We png image provide users.png extension photos for free. Fandom apps take your favorite fandoms with you and never miss a beat. 391 × 400 (11 kb) sai̇t71: Free download besiktas jk vector logo in.eps format. April 6th, 2016 besiktas fc.jpg. Besiktas Logo 3d Cad Model Library Grabcad from d2t1xqejof9utc.cloudfront.net October 11th, 2012 view comments (2) Fandom apps take your favorite fandoms with ...
Comments
Post a Comment